MATLAB | Festigkeitslehre | FEA
Numerische Simulation von Balkendeformationen unter variablen Lastfällen. Entwicklung eines MATLAB-Tools zur Visualisierung von Spannungsverläufen und Validierung theoretischer Berechnungsmodelle.

Eingabe GUI
Diverse Auswahlmöglichkeiten ermöglichen dynamisch die Last und weitere Gegebenheiten anzupassen.

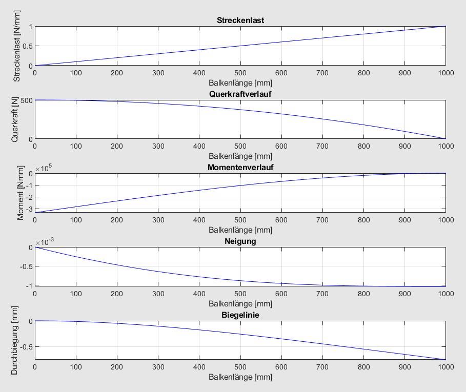
Ausgabe
Eine klassische Plot-Ausgabe welche alle wichtigen Verläufe des Biegebalkens anzeigt.
